14100 - Biocollecteur d’air Check’air RAI - Débit calibré à 100 litres/min - Collecte des germes avec impactage direct
A partir de
2 650€ HT
3 180€ TTC
Obtenir un devis / prix personnalisé
Vendu
et fabriqué par CHECK’AIR RAI
En savoir plus
Description
Le CHECK'AIR® : Un appareil performant pour la collecte de germes dans l'air
Le CHECK'AIR® utilise une technique d'impactage direct pour collecter les germes :
- L'air aspiré est propulsé à travers une grille sur la surface du milieu de culture dans une boîte de type RODAC.
- Les particules sont retenues par le milieu de culture, l'air est ensuite évacué directement.
- La technique Tube / Plaque utilisée permet une meilleure canalisation et accélération des particules, évitant leur dispersion.
- Un système anti-vortex garantit une homogénéisation parfaite de l'aspiration et un impactage uniforme.
Sécurités et fonctionnalités
- Grille avec système de sécurité : Maintien de la distance entre la boîte et la grille pour un impactage uniforme.
- Sécurité couvercle : Empêche de refermer la grille si le couvercle de la boîte RODAC n'est pas retiré.
- Compatible avec des boîtes de type RODAC « AIR ou CONTACT » sans dispersion du flux.
Caractéristiques techniques
- Portable et autonome, utilisable sur secteur ou accumulateurs.
- Système à témoins lumineux pour le suivi des prélèvements et de l'autonomie.
- Possibilité de fixation sur trépied.
- Grille autoclavable : Cycle de 15' à 121°C ou 5' à 134°C.
Volumes de prélèvement préprogrammés
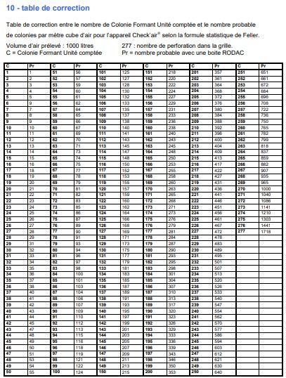
- 250 litres (zone noire : atmosphère fortement contaminée).
- 500 litres (zone grise : atmosphère moyennement contaminée).
- 1000 litres (zone blanche : atmosphère non contaminée).
Fonctionnalités avancées
- Retard de 10 secondes avant prélèvement (pas besoin de télécommande).
- Versions adaptées pour des environnements spécifiques :
- IP_Check'Air : Résistant à l'acide péracétique et au péroxyde d'hydrogène, idéal pour les isolateurs.
- Check'air® FC : Versions avec volumes de 25, 50 et 100 litres sur demande.
Mode opératoire
- Enlever la grille et placer la boîte de pétri sur la platine.
- Enlever le couvercle de la boîte et replacer la grille.
- Appuyer sur ON, le voyant indique :
- Vert : pleine charge.
- Orange : moyenne charge.
- Rouge : Ã recharger.
- Sélectionner le volume (250, 500 ou 1000 litres).
- Appuyer une deuxième fois pour lancer le prélèvement (démarrage après 10 secondes).
- À la fin, retirer la grille, remettre le couvercle et identifier la boîte.
Propriété industrielle
- Design protégé par un modèle déposé.
- Grille brevetée pour sa solution technique.
- Nom protégé par une marque déposée.
Fabrication française
- Assemblage et calibration réalisés à Lyon.
- Fabrication à l'unité avec des sous-traitants des régions Rhône-Alpes et Franche-Comté.
Autres produits du vendeur pour : Biocollecteur d’air

Voir le produit

Voir le produit

Voir le produit

Voir le produit
Produits similaires dans la catégorie qui peuvent vous intéresser

Prix sur demande
Vendu et fabriqué par : ALLIANCE BIO EXPERTISE
PACK TRIO BAS DUO - 100 L/MIN - BOITES CONTACT - Impacteur d'air pour la détection de micro - organismes en suspension dans l'air : prélevez sur différentes géloses ! - Le TRIO BAS DUO est un bio - collecteur léger et ergonomique, construit de manière hermétique (IP65, ISO14698, ISO17025,
Voir le produit
Très demandé


Prix sur demande
Vendu par : CAP-LAB
Vendeur certifié
Le biocollecteur d'air CORIOLIS MICRO permet d'évaluer le niveau de biocontamination. - Cet équipement est destiné au contrôle et à la surveillance de la qualité de l'air.  Il permet de détecter les champignons, les allergènes, les bactéries, les virus, également la décontamination
Voir le produit

Prix sur demande
Vendu et fabriqué par : ALLIANCE BIO EXPERTISE
PACK TRIO BAS MONO - 100 L/min - Boîtes 90mm Impacteur d'air pour la détection de micro - organismes en suspension dans l'air. Caractéristiques principales : - Léger et ergonomique : Le TRIO BAS MONO est construit de manière hermétique (IP65, ISO14698, ISO17025, USP797, USP1116, EU GMP/GLP,
Voir le produit


Prix sur demande
Vendu par : CAP-LAB
Vendeur certifié
 Le préleveur d'air biologique CORIOLIS COMPACT permet de surveiller la qualité de l'air intérieur comme extérieur. C'est un échantillonneur d'air cyclonique sec capable de fonctionner jusqu'à 8 heures d'affilée, les échantillons collectés sont compatibles avec les méthodes d'analyse bio
Voir le produit

Prix sur demande
Vendu et fabriqué par : AC-SPERHI
STREAM Air - Biocollecteur d’Air - Appareil de prélèvement d'air pour le contrôle microbiologique et la mesure de la qualité de l'air - Méthode par impactage pour la collecte par sédimentation à faible vitesse sur milieu gélosé, conforme aux exigences des Normes ISO/DIS 14698 - 1 de 19
Voir le produit
CHECK’AIR RAI
France, Champagnole, (39) Bourgogne-Franche-Comté
Contrôle de l'aérobiocontamination - Prélèvement microbiologique de l'air par impaction - biocollecteur: air, microbiologie, controle, appareil, bacteriologie
Top 5 des produits dans la catégorie


Prix sur demande
Vendu par : AEROMETRIK
SPECIFICATIONS - Débit : 100 L/MIN. - Contrôle du débit : Asservissement. - Alarme Débit : Alarme interne sonore, +/ - 10% du débit. - Méthode de prélèvement : Impaction sur gélose. - Support de l'échantillon : Boîte de Pétri 90 mm. - Contrôle Echantillon : Prélèvement continu o
Voir le produit


Prix sur demande
Vendu par : AEROMETRIK
SPECIFICATIONS - Débit : 100 L/MIN. - Contrôle du débit : Asservissement. - Alarme Débit : Alarme interne sonore, +/ - 10% du débit. - Méthode de prélèvement : Impaction sur gélose. - Support de l'échantillon : Boîte de Pétri 90 mm. - Efficacité de collecte : - Contrôle Echantil
Voir le produit

Prix sur demande
Vendu et fabriqué par : ALLIANCE BIO EXPERTISE
PACK TRIO BAS DUO ATEX - 200 L/MIN - BOITES 90MM - Préleveur d'air anti - explosion pour la détection de micro - organismes en suspension dans l'air : gagnez du temps ! - Le TRIO BAS DUO ATEX est un bio - collecteur léger et ergonomique, construit de manière hermétique certifié anti - expl
Voir le produit


Prix sur demande
Vendu et fabriqué par : Bertin Technologies (Biotechnologies)
CORIOLIS MICRO - COLLECTEUR D'AIR - Coriolis μ est un biocollecteur d'air destiné au contrôle qualité des biocontaminations, compatible avec toutes les méthodes d'analyse grâce à son échantillon liquide. - Coriolis μ est un biocollecteur d'air innovant permettant d'évaluer le niveau de
Voir le produit

Prix sur demande
Vendu et fabriqué par : PARTICLE MEASURING SYSTEMS
Plage de sensibilité : 1 cfu - Échantillonneur d'air microbien BioCapt ®L'Échantillonneur d'air microbien BioCapt ® de Particle Measuring Systems aide à minimiser les faux positifs pour l'activité microbienne dans les salles blanches pharmaceutiques en réduisant la contamination due Ã
Voir le produit
Pas exactement ce que vous recherchez ? Requêtes associées
Exemples de demandes de devis
Bonjour,
En parcourant notre inventaire nous nous aperçu que :
Nous avions fait l’acquisition d’un appareil Check air il y’a plusieurs années…nous vous l’avions renvoyé pour un problème de batterie et pour une recalibration…et nous n’avons pas reçu de nouvelles… merci de nous contacter
Nous serions intéressés à faire également l’acquisition d’un nouvel appareil merci de nous une offre avec un équipement complet et un pied
Bien cordialement
Dominique Briguet
Hygiactive Sa
Cp 8
1867 Ollon
+41 79 628 64 49
Dominique B (Colombes - Hauts-de-Seine - 92)